เข้าสู่ระบบ
ชื่อผู้ใช้ :
รหัสผ่าน :
ลงทะเบียนใหม่
เข้าเรียนรู้ในฐานะ บุคคลทั่วไป
Notice
: Undefined index: ContentID in
/home/kanthala/domains/tanyanan.net/public_html/learningportal.php
on line
16
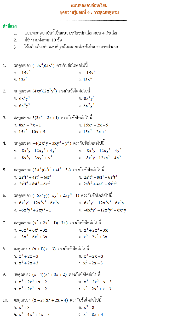
กระดาษคำถาม
กระดาษคำตอบ
ข้อ
ก
ข
ค
ง
1
2
3
4
5
ข้อ
ก
ข
ค
ง
6
7
8
9
10
ใบกิจกรรม
Created by
Kru Tanyanan Borankul
2019