Notice: Undefined index: ContentID in /home/kanthala/domains/tanyanan.net/public_html/learningportal.php on line 16
เข้าสู่ระบบ
 ชื่อผู้ใช้ : 
 รหัสผ่าน :  
เข้าเรียนรู้ในฐานะ บุคคลทั่วไป
 
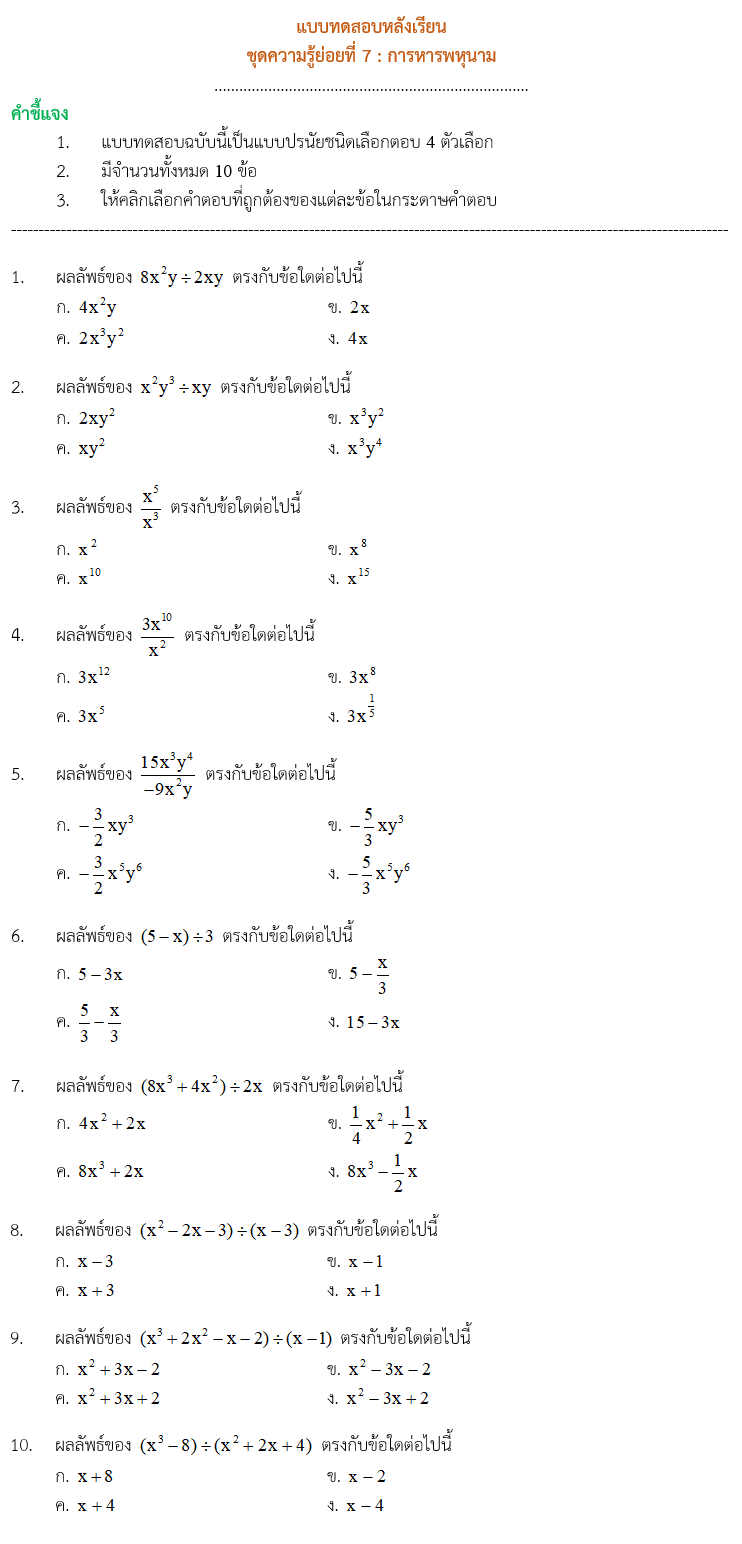
กระดาษคำถาม
 
กระดาษคำตอบ
ข้อ
1
2
3
4
5
ข้อ
6
7
8
9
10
 
 
 
 
 
Created by
Kru Tanyanan Borankul
2019