เข้าสู่ระบบ
ชื่อผู้ใช้ :
รหัสผ่าน :
ลงทะเบียนใหม่
เข้าเรียนรู้ในฐานะ บุคคลทั่วไป
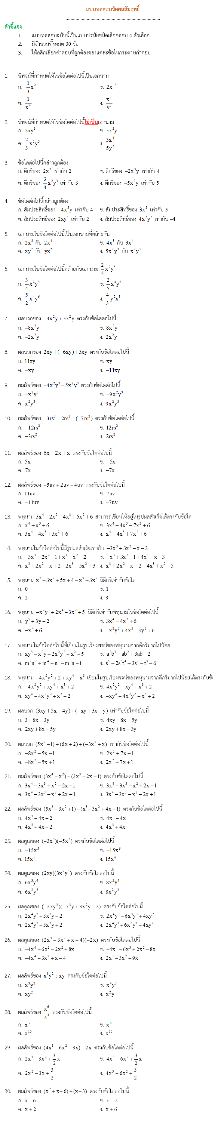
แบบทดสอบวัดผลสัมฤทธิ์ก่อนเรียน
กระดาษคำถาม
กระดาษคำตอบ
ข้อ
ก
ข
ค
ง
1
2
3
4
5
6
7
8
9
10
11
12
13
14
15
ข้อ
ก
ข
ค
ง
16
17
18
19
20
21
22
23
24
25
26
27
28
29
30
Created by
Kru Tanyanan Borankul
2019